最終更新日:2026年04月23日
岩槻教室
所在地
〒339-0057
柳屋ビル3F
教室地図
沿線
東武野田線岩槻駅 東口駅前徒歩1分
電話番号
048-749-8388
災害時避難場所
コミュニティセンターいわつき|〒339-0057 埼玉県さいたま市岩槻区本町1-10-7
こんにちは。
市進学院岩槻教室の責任者の櫻木です。
埼玉で30年近く指導しています。
より良い学習指導や学習環境を提供できる
ように取り組みます。
面談の際には、お子さまの定期試験の問題
用紙と解答用紙をご持参ください。
問題用紙に書いた途中式や解答の根拠に
ひいた線、解答用紙に書いたお子さまの字
を拝見して、お子さまの課題を見つけて
アドバイスします。
よろしくお願いします。
市進学院 岩槻教室の特徴と
コースをご紹介いたします。
【小学生】
小学1年生、小学2年生、小学3年生の
個別授業、オンライン活用授業
◆中学受験コース
週1回~ 個別授業
(通塾例)
①国語・算数 個別指導
②理科・社会 映像指導
③強化学習 図形の極・速読
→①②③を組み合わせて週3回
◆高校受験合格コース(学校の授業先取り学習)
小学4年生のオンラインコース
小学5年生、小学6年生の
集団授業、オンラインコース
【中学生】
◆高校受験コース
(国私立高校、公立高校受験)
中学1年生、中学2年生、中学3年生の
高校受験に向けた集団授業コース
【高校生】
◆大学受験 映像授業コース
大学受験に向け、難易度別に用意された
全科目の映像授業完備!
専用個別ブースで自習ができます。
【個別指導 個太郎塾】
対象:小学生、中学生、高校生、高卒生
個太郎塾はオーダーメイドです。
教科書の徹底理解、苦手科目・苦手単元
の補強から、定期テスト対策、内申対策
中学受験・高校受験・大学受験対策まで
お任せください。
教室へのお問い合わせはLINEでも承っております。
今年で岩槻教室に配属となり5年目を迎えました。
この4年間の指導実績です。
①中学受験
☆春日部共栄7名 ☆土浦日大1名
②公立高校
☆上尾2名 ☆市立川越1名
☆伊奈学園3名 ☆岩槻1名
☆岩槻商業1名 ☆浦和1名
☆一女1名 ☆浦和西3名
☆大宮北2名 ☆大宮光陵1名
☆大宮南1名 ☆春日部2名
☆春日部女子3名 ☆川口市立2名
☆鴻巣女子1名 ☆越ヶ谷3名
☆越谷北8名 ☆越谷西1名
☆杉戸1名 ☆与野2名 ☆蕨2名
③私立高校
☆浦和麗明7名 ☆浦和学院7名
☆浦和実業6名 ☆叡明4名
☆大宮開成4名 ☆開智3名
☆川越東3名 ☆春日部共栄13名
☆国際学院1名 ☆埼玉栄1名
☆栄北9名 ☆栄東3名
☆秀明栄光1名 ☆十文字3名
☆淑徳与野1名 ☆昌平4名
☆城北埼玉2名 ☆中央大学1名
☆独協埼玉6名 ☆花咲徳栄2名
☆武南4名
③大学
☆岡山理科大1名 ☆北里大1名
☆近畿大学1名 ☆釧路公立大1名
☆國學院大2名 ☆十文字1名
☆聖学院大1名 ☆東海大3名
☆獨協大学1名 ☆東京家政大
☆新潟大1名
イベント・講習のお知らせ
| 中高生 | 定期試験対策 |
| 定期試験の点数は「デコボコ」して当然です。 | |
|
|
|
| 小・中・高 | 生徒募集 |
| 市進学院岩槻教室の特徴 | |
|
【市進学院岩槻教室の特徴】
(1)部活動と両立が可能な指導体制(小中高)通塾の負担を抑え主要科目が習える指導体制です。 教室が開いている時間は自習室を利用できます。 (2)週1回アウトプット補講「ワークの日」(中)学校のワークや塾の宿題をします。 「学校のワークが終わるのが提出期日ギリギリ」 「提出期日に間に合わない」 ということのないように指導します。 (3)受験指導と定期試験指導の両輪指導(中高)中1・中2、高1・高2は定期試験対策指導を 重視しています。 中学生も高校生も学校の授業の予習をさせます。 (4)集団指導×個別指導×映像指導のコラボ指導(小中高)集団も個別も映像の長所を お子様の学力や学習環境を踏まえて、 個々にあった学習法を提案します。
(5)1科目から受講可能(小・中・高)集団も個別も映像も1科目から受講が可能です。 (6)2者面談・3者面談の実施(小・中・高)保護者の方や生徒との連絡を密にしています。 授業の様子を伝え、学習アドバイスをします。 LINEによる質問対応もしています。 定期試験の問題と解答用紙をご持参ください。 お子さまの最善の学習法をご提案します。 TEL 048-749-8388LINE |
|
| 小・中 | 新年度生募集 |
| 一緒に学びませんか(集団クラス編成) | |
|
小・中・高 新年度生 募集 <集団クラス>~高校受験コース~ 小5 火 17:00~18:40 算数・国語 金 17:00~17:50 英語 小6 火 16:50~18:50 算数・国語 木 16:50~18:50 英語・理科・社会 中1 火 19:25~21:05 文系教科 木 19:05~21:05 理系教科 中2 火 19:25~21:25 理系教科 木 19:25~21:25 文系教科 中3 水 19:25~21:25 理系教科 金 19:25~21:25 文系教科 土 19:25~21:25 理系or文系 <集団クラスの特徴> 1.市進の共演授業 講師と生徒がやり取りをしながら、 考え方や答えまでのプロセスを 共有し、考える力を養います。 2.学習内容を効果的に定着させる 「らせん型カリキュラム」 らせん階段を上るように 何度も復習を繰り返しながら、 応用力を養います。 3.授業と家庭学習の両輪指導 ①授業で学び、家庭学習で定着を強化 ②充実した学習サポート ・理系講師と文系講師のW担任制 ・全授業映像配信 ・とことん質問対応(LINE質問室) まずはカウンセリング面談を受けてみませんか。 LINEでお申し込みの際は、 お子さまの学年とお名前と 「カウンセリング面談希望」と記入してください。 TEL 048-749-8388LINE |
|
| 中学1年生 | 高校受験コース |
| 高校入試説明会&新中1スタートテスト | |
![]() |
|
| 高校生 | 新規募集 |
| 夢の大学へ、一緒に挑もう。高校生募集中 | |
|
|
| 高校生のみなさん | |
| 総合型選抜の第1歩 | |
![]() 総合型選抜をお考えの皆さん 総合型選抜や自己推薦、公募推薦などの第1次審査は「書類選考」です。 これを突破しないと2次試験の面接や小論文にもたどり着けません。 提出書類には、事前課題に関するレポート、を求められる場合が多くあります。 また、2次試験当日にも大学の講義を受けて時間内でレポートを仕上げる、という 大学もあります。 大学生になると文系・理系問わず「レポート」提出は当たり前であり、その書き方も 教授より指導を受けます。最初はやり直しさせられることもしばしばですが段々と慣れて 当たり前のように正しい書き方で書けるようになってきます。 そんな教授の皆さんが総合型選抜の選考の際に高校生のレポートを審査します。 そもそも総合型選抜は、大学で学ぶ学問にいち早く踏み込み、大学生のように自分の 興味を持った分野の研究を始めている高校生や、そのような考え方を既にできている高校生 を選ぶための選考です。レポートの書式も教授の皆さんが読みやすいように正しい書式で 読みやすく書いてある方が評価が高いに決まっています。 総合型選抜の第1歩、レポートの書き方を早い段階で習得しておきましょう!! |
|
| 小学生 | |
| 図形の極 | |
|
テキストは1~10級に分かれており、小学校低学年のお子様でも無理なく学習を進められます。 実施日時:市進がオープンしている時間ならいつでも利用できます。 ご家庭でも外出先でもインターネット環境があれば回数無制限。 体験日時 : 火曜~土曜 14:00~19:00 まずはお電話でご予約下さい。 |
|
市進学院岩槻教室に在籍する中学生(岩槻中・西原中)の定期試験の点数推移と合格校のデータを改めて見てみました。
グラフを見ると、確かにデコボコしていますよね。
常に高得点を取り続ける生徒、右肩上がりに伸び続ける生徒もいます。
しかし、ほとんどの生徒は点数に波があり、スランプで一時的に右肩下がりになることもあります。
実は、徐々に点数を伸ばしている生徒も「上がったり下がったり」を繰り返しながら伸びているのが分かりますね。
大切なのは、定期試験の前の対策とおなじように定期試験後の解き直しです。
定期試験の問題用紙と解答用紙を教室にご持参ください。面談を受け付けています。
TEL 048-749-8388LINE
【市進学院岩槻教室の特徴】

(1)部活動と両立が可能な指導体制(小中高)
通塾の負担を抑え主要科目が習える指導体制です。
教室が開いている時間は自習室を利用できます。
(2)週1回アウトプット補講「ワークの日」(中)
学校のワークや塾の宿題をします。
「学校のワークが終わるのが提出期日ギリギリ」
「提出期日に間に合わない」
ということのないように指導します。
(3)受験指導と定期試験指導の両輪指導(中高)
中1・中2、高1・高2は定期試験対策指導を
重視しています。
中学生も高校生も学校の授業の予習をさせます。
(4)集団指導×個別指導×映像指導のコラボ指導(小中高)
集団も個別も映像の長所を
お子様の学力や学習環境を踏まえて、
個々にあった学習法を提案します。



(5)1科目から受講可能(小・中・高)
集団も個別も映像も1科目から受講が可能です。
(6)2者面談・3者面談の実施(小・中・高)
保護者の方や生徒との連絡を密にしています。
授業の様子を伝え、学習アドバイスをします。
LINEによる質問対応もしています。
定期試験の問題と解答用紙をご持参ください。
お子さまの最善の学習法をご提案します。
TEL 048-749-8388LINE
小・中・高 新年度生 募集
<集団クラス>~高校受験コース~
小5 火 17:00~18:40 算数・国語
金 17:00~17:50 英語
小6 火 16:50~18:50 算数・国語
木 16:50~18:50 英語・理科・社会
中1 火 19:25~21:05 文系教科
木 19:05~21:05 理系教科
中2 火 19:25~21:25 理系教科
木 19:25~21:25 文系教科
中3 水 19:25~21:25 理系教科
金 19:25~21:25 文系教科
土 19:25~21:25 理系or文系
<集団クラスの特徴>
1.市進の共演授業
講師と生徒がやり取りをしながら、
考え方や答えまでのプロセスを
共有し、考える力を養います。
2.学習内容を効果的に定着させる
「らせん型カリキュラム」
らせん階段を上るように
何度も復習を繰り返しながら、
応用力を養います。
3.授業と家庭学習の両輪指導
①授業で学び、家庭学習で定着を強化
②充実した学習サポート
・理系講師と文系講師のW担任制
・全授業映像配信
・とことん質問対応(LINE質問室)
まずはカウンセリング面談を受けてみませんか。
LINEでお申し込みの際は、
お子さまの学年とお名前と
「カウンセリング面談希望」と記入してください。
TEL 048-749-8388LINE
.jpg?1775558638)

総合型選抜をお考えの皆さん
総合型選抜や自己推薦、公募推薦などの第1次審査は「書類選考」です。
これを突破しないと2次試験の面接や小論文にもたどり着けません。
提出書類には、事前課題に関するレポート、を求められる場合が多くあります。
また、2次試験当日にも大学の講義を受けて時間内でレポートを仕上げる、という
大学もあります。
大学生になると文系・理系問わず「レポート」提出は当たり前であり、その書き方も
教授より指導を受けます。最初はやり直しさせられることもしばしばですが段々と慣れて
当たり前のように正しい書き方で書けるようになってきます。
そんな教授の皆さんが総合型選抜の選考の際に高校生のレポートを審査します。
そもそも総合型選抜は、大学で学ぶ学問にいち早く踏み込み、大学生のように自分の
興味を持った分野の研究を始めている高校生や、そのような考え方を既にできている高校生
を選ぶための選考です。レポートの書式も教授の皆さんが読みやすいように正しい書式で
読みやすく書いてある方が評価が高いに決まっています。
総合型選抜の第1歩、レポートの書き方を早い段階で習得しておきましょう!!
テキストは1~10級に分かれており、小学校低学年のお子様でも無理なく学習を進められます。
実施日時:市進がオープンしている時間ならいつでも利用できます。
ご家庭でも外出先でもインターネット環境があれば回数無制限。
体験日時 : 火曜~土曜 14:00~19:00
まずはお電話でご予約下さい。
△トップへ
教室スタッフから
春日部共栄高校・越ヶ谷高校合格
<入会時期>中2
① 合格が分かった時のできごとや気持ちは?
・見間違いだったら怖いので何度も見直した・とても嬉しい。とにかく嬉しい。・今まで応援してくれていたいろんな人に大喜びで伝えに行った。
② 市進に通ってよかったことは?
・友達ができたこと。・テストに慣れられたこと。・勉強する機会を確保できたこと。・わからないところをちゃんと説明してくれること。
③ 季節講習で力になったことや大変だったことは?
・来なければいけない日が多いため、休みがなくなって大変だった。・朝早い時間からやる日もあって早起きが大変だった。・でも、自分一人じゃここまでやることはなかったからやる機会になって良かった。
・市進に入る前より勉強に取り組む時間は圧倒的に長くなった。
④ 市進での学習、講座、イベントなどで合格に結びついたことは?
・合格突破講座? ファイナルゼミ
→やるだけじゃなく、解説までしてくれるから わからなかったものがちゃんとわかるようになる!
⑤ 日々の勉強で、意識したことや工夫したことは?
・苦手な教科をやる。 逃げない。 あきてきたら好きな教科をちょっとやってまた戻る。
・毎日ちょっとでもいいからやって勉強をするという習慣をつける。
・むりやりずっとやるのはキツイので、ちょっとだけは休憩もはさむ。
⑥ 受験勉強で苦しかったことと、それをどう乗り越えたか?
・日にちが近づいてくるにつれて焦りが出てくる
・今まで頑張ったものを思い出す。・もう0日しかない…ではなくまた0日もあると思いこむ。・ちょっとでもプラスにとらえて心を落ちつかせる
⑦ 市進に入会した学年の思い出は?
・中学2年生のときに入会し、最初は授業についていけるかという不安があった。 先生たちやクラスの雰囲気のおかげでその不安は消え、楽しく学べることができた!
⑧ 後輩のみなさんへ、アドバイスを書いてください。
昌平高校・与野高校合格
<入会時期>中2
① 市進に通ってよかったことは
たくさんの先生がいて、わからないことがあったときに質問しやすい!
私は数学が苦手でたくさん質問していました。数学ができる先生がたくさんいるので質問待ちをすることが少なかったです。
トイレ が本当にめっちゃきれい! もちろんその他の教室も すみっこも!
トイレに関しては、ほうこうさいも ハンドソープも いつもいいにおいで幸せでした。
②季節講習で力になったことや大変だったことは?
夏と冬の講習 では時間も長く、日数も多いので 毎日の講習をこなすだけでも大変で、その上で宿題もたくさんあるので すっごくキツイです。
でも、だからこそ、すっごく力がつきました。中でも英語の長文 が成長しました。夏は テキストを見るだけでしんどいと思いましたが 北辰や入試ですっごくやりやすくなります! がんば!!
③市進での学習、講座、イベントなどで合格に結びついたことは?
公立高合格突破講座 です
過去問 がどんな感じなのかを知ることで、これからどんなことを勉強したらいいのか分かりやすくなりました。
北辰も過去問と似てるので、過去問をやることで北辰も点とれるし、過去問もやりやすくなるのでおすすめ!
④日々の勉強で、意識したことや工夫したことは?
わからないことを放置しない。
ワークや問題集でわからないところがあったとき、付箋をつけて、質問したことを書いていました。質問が終わったあとは付箋を外すことで勉強量が目に見えて達成感がありました。
⑤受験勉強で苦しかったことと、それをどう乗り越えたか?
自分の勉強時間と友達の勉強時間を比べて、あせる気持ちがずっとあってしんどかった。「あの子は勉強してるのに、自分は寝ていた…」って思うことがめっちゃありました。でも、比べてて大丈夫!それぞれ学力も志望校もちがうんだから、同じである必要ない!! 自分のできる範囲 でOK。
⑥市進に入会した学年の思い出は?
部活のアンコン で銀賞をとったこと。
今まで銀賞をとったことがなかったので、すっごく嬉しかったです。
外国のお話をたくさん読んでいました。
シェイクスピアの本や シャーロックホームズの シリーズを読んでいました。
東京家政大合格
【1】志望大学に合格したときの気持ちを詳しく教えてください。
安心した。12月に合格をいただけたので、共通テストと国公立大学の試験には思い切って挑もうと覚悟を決めた。
志望理由などの提出書類の作成は大変だったが、自分と向き合う機会にもなり、この試験方式に挑戦してよかった。
【2】勉強面でうまくいったことやうまくいかなかったこと☆うまくいったこと 倫理の勉強。共通テスト前はとにかくつめ込んで点数を短時間で伸ばせた。
☆うまくいかなかったこと
数学。高校1年生のころからつまづいてから立て直せなかった。 1年生のころから、とりあえず“学校の勉強”についていくのを頑張るべきだった。
【3】市進をどのように活用していましたか? ☆授業について(映像活用法、予習・復習、ノートの取り方など)
週1の個別授業。夏期、冬期、春期講習。 ☆チューターやカウンセラーについて
質問や進路の相談をした。
【4】後輩へのアドバイスをぜひお願いします。 ☆高校1年
学校の授業の復習。 余裕があれば予習もした方が良いが、1日で学んだことを復習することは必ずやっておいた方が良い。
学校の授業にしっかりついていけることが大切。 ☆高校2年
高1と同じく授業の復習。 1年生の時に学んでいて、受験でも使う科目は、内容を忘れてしまわないように定期的に復習すると良い。 模試を活用して勉強するだけでも良い復習になるとと思う。 ☆高校3年
公募推薦までは小論文と英語に偏った勉強をしてしまっていたが、落ちることを前提にして、共通テストに向けて勉強するべき。
埼玉ではマイナー、but、高校入試合格力はピカ一と自画自賛する市進学院岩槻教室のHPにようこそ!!
文化史が苦手な生徒へ社会科担当からのプレゼントがこちら(^^)


分かったかなヽ(^o^)丿
定期試験の点数を上げるのは、過去問や予想問題を解くことではなく、範囲を把握し、漢字や英単語を覚え、中学校のワークをしっかりと解くことです。
一通り終えたら、塾の教材で演習する。そして試験本番ではケアレスミスを防げばよい点数が取れます。

80点を越えた教科は苦手教科と思わず、さらに上を目指しましょう。
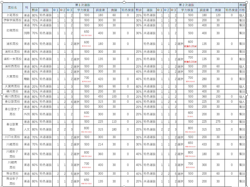
市進学院岩槻教室の生徒の定期試験の結果と進学先を見ると、
5教科350点前後の点数を取れようになると地域進学校(越谷南・伊奈学・上尾・大宮南など)
400点前後だと地域人気進学校(越ヶ谷・大宮北・市立川口)
400点から450点の間だと地域トップ校(春日部・越谷北・浦和西)
450点前後だと埼玉県内トップ校(浦和・一女)に合格しています。

この推移をみると、点数が上がり下がりしながら徐々に上向いていることが分かります。
点数が上向く理由は、先生のアドバイス通りに試験に臨み、ケアレスミスが少なくなっていったからです。
今、成績が低迷していても、先生のアドバイスを聞いて実践すれば過去問や予想問題に頼らなくても点数は上がります。そして、それが高校や大学での学びに繋がります。
教室地図
所在地
〒339-0057
埼玉県さいたま市岩槻区本町1-2-1
柳屋ビル3F
沿線
東武野田線岩槻駅 東口駅前徒歩1分
電話番号
048-749-8388
災害時避難場所
コミュニティセンターいわつき|〒339-0057 埼玉県さいたま市岩槻区本町1-10-7
岩槻教室へのお問い合わせや体験はこちらから
電話で聞いてみる 電話で聞いてみる
お電話にて
048-749-8388
にお問い合わせください。
受付時間外の場合
0120-80-0877(月~土 10:00-20:30)
[市進コールセンター]

























































